Eğitim Konuları

Beyin Ve Sinir Sistemi

Beyin Ve Sinir Sistemi

Beyin ve sinir sistemi, beyin sinir sisteminin en önemli organıdır. Sinir sisteminin işlevlerini yerine getirmesi tamamen beynin üzerine düşen görevleri yerine getirmesine bağlıdır. Merkezi sinir sisteminin en üstte yer alan yapısı olan beyin kafatası içinde bulunur. Vücudun yönetim ve denetimi merk[...]

Sempatik Sinir Sistemi Bozukluğu

Sempatik Sinir Sistemi Bozukluğu

Sempatik sinir sistemi bozukluğu, sempatik sinir sistemi parasempatik sistemle birlikte otonom sinir sisteminin bir parçasıdır. Bu sistemin çalışma düzeni istem dışı olur. Kan damarlarını genişleterek, daraltır, göz bebeklerini büyütebilir, kalp atışlarını hızlandırır, tükürük ve göz yaşı salgısını [...]

Santral Sinir Sistemi

Santral Sinir Sistemi

Santral sinir sistemi, diğer adıyla merkezi sinir sistemi beyin ve omurilikten, ayrıca bunlarla bağlantılı olan sinirlerden meydana gelmiştir. Çevresel sinir sisteminden duyusal impulsları alır, buna yanıtı kontrol eder. Santral sistem vücuttaki kontrol ağı gibidir. Bu sistemden etkilenen faaliyetle[...]

Sinir Sistemi Organları

Sinir Sistemi Organları

Sinir sistemi organları, sindirim sistemi vücuttaki organların etkili bir şekilde çalışmasını, elektriksel yöntemlerle düzenleyen yapılardan oluşmaktadır. Sinir lifleri aracılığıyla vücuttaki tüm olayları denetler, aynı zamanda düzenler. İnsan vücudunda olan sinir sistemi oldukça gelişmiştir. Merkez[...]

Sinir Sistemi Beyin

Sinir Sistemi Beyin

Sinir sistemi beyin, sinir sistemi denildiği zaman nöron adı verilen hücre yığını düşünülebilir. Fakat bu sistem mükemmel şekilde yaratılmış kompleks bir sistemdir. Ana merkezleri yakın şekilde kafatası içine yerleştirilmiş, uzantılar ve tali merkezlerde vücuda yayılmış şekildedir. Beyin sinir siste[...]

Sempatik Sinir Sistemi

Sempatik Sinir Sistemi

Sempatik sinir sistemi, irade dışında çalıştırılan otonom sinir sisteminin bölümüdür. Sinir sisteminin parçası olan omurilikten çıkan sinirlerin bir bölümü sempatik sisteme aittir. Bu sinirler vücudu kargaşalara hazırlayan organları uyarmaktadır. Bunun yanında fonksiyonların yapılması gerekli olmaya[...]

İnsanda Sinir Sistemi

İnsanda Sinir Sistemi

İnsanda sinir sistemi, evrendeki en karmaşık biyolojik sistemdir. Sinir hücreleri ve aralarındaki bağlantı, yardımcı hücreler sinir sisteminin yapısını oluşturur. Bu karmaşık yapı, canlılık olaylarının ve davranışların düzenlendiği ara birimdir. Sinir sistemi genel olarak merkezi ve çevresel sinir s[...]

Sinir Sistemi

Sinir Sistemi

Sinir sistemi, canlı vücudunda içsel ve dışsal olayları algılamaya neden olan, bilgileri elde eden, bu bilgileri işleyen, bedende bulunan hücre ağı sayesinde  farklı bölgelere sinyallerle ileten, organların ve kasların faaliyetlerini düzenleyen organ sistemidir. Vücuttaki sinir ağını yani sinir sist[...]

Merkezi Sinir Sistemi

Merkezi Sinir Sistemi

Merkezi sinir sistemi, insanlardaki ne karmaşık biyolojik sistemdir. Sistemde milyonlarca sinir hücresi, aralarında çok sayıda bağlantıyla, yardımcı hücreler denilen glia hücreleri ana yapıyı oluşturur. Bu karmaşık yapı canlılık olayları ile davranışlarını düzenleyen ara birim görevini yapar. Sinir [...]

Merkezi Sinir Sistemi Organları

Merkezi Sinir Sistemi Organları

Merkezi sinir sistemi organları, merkezi sinir sistemi kafatasında ve omurgada yer alan beyin ve omurilikten meydana gelmiştir. Bütün beyinle omurilikle birlikte bir eksen oluşturmaktadır. Bunlar uzun uzantılara sahip, nöron denilen sinir hücreleriyle destek doku nörogli hücrelerinden yapılıdır. 1,5[...]

Sinir Sistemi Nedir

Sinir Sistemi Nedir

Sinir sistemi nedir, sinir sistemi canlıların içsel ve dışsal çevreyi algılamasına, bilgi elde etmesine, bu bilgileri işlemesine yardımcı olan, vücuttaki hücre ağı sayesinde sinyalleri her yere ileten, kasların aktivitesini düzenleyen sistemdir. İnsan vücuduna ait olan sinir sistemleri merkezi sinir[...]

Somatik Sinir Sistemi

Somatik Sinir Sistemi

Somatik sinir sistemi, otonom sinir sistemine bağlı sinirsel bir sistemdir. Vücutta istemli faaliyetlerin yürütülmesini sağlar. Somatik sistem motor ve duyu sinir hücreleriyle donatılmıştır. Sinir hücrelerinin gövdeleri merkezi sinir sisteminde yer alır. Aksonları iskelet kaslarına gitmekte ve istem[...]

Çevresel Sinir Sistemi

Çevresel Sinir Sistemi

Çevresel sinir sistemi, periferik sinir sistemi olarak ta bilinen sinir sistemidir. beyin ve omurilikle diğer organlar arasındaki bağlantıyı sağlayan sinirler ve gangliyonlardan meydana gelir. Sinirlerin 12 çifti beyinden çıkar, 31 çifti de omurilikten çıkar. Kafatası ile omur sinirlerinin yapısı hü[...]

Sinir Sistemi Fizyolojisi

Sinir Sistemi Fizyolojisi

Sinir sistemi fizyolojisi, hücrelerin, doku ve organların, çeşitli fonksiyonların gerektiği gibi yapılabilmesi için, yapıların hem kendi aralarında, hem de çevreden gelen uyaranları doğru şekilde değerlendirmeleri gerekir. Sinir sistemi canlıda vücudu için çevreden gelen uyarıları reseptörleriyle al[...]

Sinir Sistemi İlaçları

Sinir Sistemi İlaçları

Sinir sistemi ilaçları, sinir ilaçları daha önce kişiyi uyutan, bağımlılık yaratan ilaçlar olarak algılanmaktaydı. Ancak günümüzde kullanılan sinir sistemi ilaçları insan psikolojisini değiştiren, beyne uyarı göndererek ruhsal sorunları çözen türdendir. Bu ilaçların yan etkileri de oldukça azaltılmı[...]

Sinir Sistemi Anatomisi

Sinir Sistemi Anatomisi

Sinir sistemi anatomisi, sinir sistemi merkezi ve çevresel yani periferik olarak iki bölüm halindedir. Merkezi sinir sistemi beyin ile medulla spinalisten meydana gelir. Embriyonik dönem sırasında nöral tüpün kaudal bölümünden medulla spinalis, rostral bölümünden de önden araka tarafa doğru ön beyin[...]

Sinir Sistemi Bozuklukları

Sinir Sistemi Bozuklukları

Sinir sistemi bozuklukları, sinir sistemi vücuttaki tüm organ ve dokuların işlevlerini yerine getirmesini sağlayan bir bütündür. Sinir sisteminde meydana gelen bozukluklar gerek psikolojik olarak, gerekse fiziksel olarak çeşitli sorunların, hastalıkların ortaya çıkmasına neden olur. Akıl almaz bir b[...]

Kas Ve Sinir Sistemi Hastalıkları

Kas Ve Sinir Sistemi Hastalıkları

Kas ve sinir sistemi hastalıkları, toplumda yaygın olarak etkili olan rahatsızlıklardır. Sinir sistemi içsel ve dışsal çevrenin algılanmasında etkilidir. Bilgiyi sağlayan, işleyen ve vücuttaki hücre ağları sayesinde bunları farklı alanlara ileten, organ ve kas yapısındaki düzeni sağlayan sistemdir. [...]

Otonom Sinir Sistemi İlaçları

Otonom Sinir Sistemi İlaçları

Otonom sinir sistemi ilaçları, otonom sinir sistemi vücutta istek dışında çalışan organ ve dokuların fonksiyonlarını düzenlemektedir. Sistemin santral ve bölümleri bulunur. Anatomi ve fizyolojik açıdan parasempatik ve sempatik sinir sistemi olarak iki bölümde işlev görür. Bu sistemler istek dışı çal[...]

Sinir Sistemini Güçlendiren Besinler

Sinir Sistemini Güçlendiren Besinler

Sinir sistemini güçlendiren besinler, sinir sistemi sağlıklı işlev gördüğü sürece sağlıklı bir yaşam sürmenin mümkün olabilir. Beyin bir kas gibi çalışmaktadır. Yani beyin ne kadar çalıştırılırsa, o derece güçlenir. Bu nedenle zihnin çalıştırılması ve sinir sisteminin güçlendirilmesi gerekir. Bu yap[...]

Parasempatik Sinir Sistemi

Parasempatik Sinir Sistemi

Parasempatik sinir sistemi, sistemin pregangliyonik hücreleri beyin sapıyla omuriliğin sakral bölgesinde yer alır. Sisteme ait olan aksonların bir kısmı miyelinli, bir kısmı ise değildir. Pregangliyonik liflerde sempatik sinir sisteminin liflerinden daha uzundur. Hücreler hedef organda ya da organın[...]

Otonom Sinir Sistemi

Otonom Sinir Sistemi

Otonom sinir sistemi, aynı zamanda istemsiz, vegetatif ve visseral sinir sistemi olarak ta tanımlanır. Fizyolojik bakımdan otonom sinir sistemi dual işlevlere sahip olan bir sistemdir. Bu sistem 2 kısımdan oluşur. Bunlar parasempatik ve sempatik sinir sistemidir. Bu sistemlerin dışında nonkolinerjik[...]

Çevresel Sinir Sistemi Nedir

Çevresel Sinir Sistemi Nedir

Çevresel sinir sistemi nedir, vücutta beyin ve omuriliği diğer organlara bağlayan sinirlerin oluşturduğu sistemdir. Beyin ve omurilik dışındaki sinirler ve gangliyon çevresel sinir sistemini meydana getirir. Sinirlerin 12 çifti beyinden çıkarken, 31 çifti omurilikten çıkmaktadır. Beyinden çıkanlar k[...]

Sinir Sistemi Hastalıkları

Sinir Sistemi Hastalıkları

Sinir sistemi hastalıkları, sinir sistemi içinde beyin, beyincik, omurilik, kafa sinirleri ve çevre sinirleri bulunmaktadır. Bu bölgeyi etkileyen hastalıklar sinir sistemi hastalıkları olarak değerlendirilir. Sinir sisteminde ortaya çıkan sorunlar bütün vücudu etkileyecek kadar önemlidir. Bu hastalı[...]

Periferik Sinir Sistemi

Periferik Sinir Sistemi

Periferik sinir sistemi, vücudumuzda merkezi sinir sistemini iç organlara, kaslara ve cilde bağlayan sinirleri içerir. Bu sistemin görevi elektrik uyarıları aracılığıyla, vücutta bilgi taşımaktır. Sinir hücrelerinin yani nöronların her biri gövdeyle akson denilen uzun kuyruktan meydana gelir. Aksonl[...]

Plaka

Plaka

Plaka, trafikteki motorlu taşıtlara verilen sayısal değerlerdir. Plakalar şehirlere göre numaralandırılmış ve her şehrin kendine ait bir plaka kodu vardır. Plakaları resmi kurum, devlet daireleri, özel plakalar, geçici plakalar ve sivil plakalar olarak sınıflandıra biliriz. Türkiye’de ki plaka ko[...]

01 Plaka

01 Plaka

01 Plaka, Adana ve ilçelerine ait bir plaka kodudur. Resmi kayıtlara göre 01 plaka kodu Adana iline verilmiştir. 01 Plaka adana iline ait bir plakadır. 01 Plaka Kodu Listesi 01 AA 001 – 01 AZ 999 Merkez 01 BA 001 – 01 BZ 999 Merkez 01 CA 001 – 01 CZ 999 Merkez 01 DA 001 – 01 DZ 99[...]

04 Plaka

04 Plaka

04 Plaka, Ağrı ve ilçelerine ait bir plaka kodudur. Resmi kayıtlara göre 04 plaka kodu ağrı iline verilmiştir. 04 Plaka ağrı iline ait bir plakadır. 04 Plaka Kodu Listesi 04 AC 001 – 04 AZ 999 Merkez 04 D 0001 – 04 D 9999 Doğubeyazıt 04 M 0001 – 04 M 2999 Merkez 04 M 3000 – 04 M 4[...]

05 Plaka

05 Plaka

05 Plaka, Amasya ve ilçelerine ait bir plaka kodudur. Resmi kayıtlara göre 05 plaka kodu Amasya iline verilmiştir. 05 Plaka amasya iline ait bir plakadır. 05 Plaka Kodu Listesi 05 AC 001 – 05 AZ 999 Merkez 05 DA 001 – 05 DE 999 Merkez 05 DF 001 – 05 DZ 999 Merzifon 05 EA 001 – 05 [...]

09 Plaka

09 Plaka

09 Plaka, Aydın ve ilçelerine ait bir plaka kodudur. Resmi kayıtlara göre 09 plaka kodu Aydın iline verilmiştir. 09 Plaka aydın iline ait bir plakadır. 09 Plaka Kodu Listesi 09 AC 001 / 09 AZ 999 Merkez 09 D 0001 / 09 D 9999 Didim 09 DA 001 / 09 DZ 999 Merkez 09 E 0001 / 09 E 9999[...]

10 Plaka

10 Plaka

10 Plaka, Balıkesir ve ilçelerine ait bir plaka kodudur. Resmi kayıtlara göre 10 plaka kodu Balıkesir iline verilmiştir. 10 Plaka balıkesir iline ait bir plakadır. 10 Plaka Kodu Listesi 10 AC 001 / 10 AZ 999 Merkez 10 D 0001 / 10 D 9999 Merkez 10 DA 001 / 10 DZ 999 Merkez 10 E 000[...]

12 Plaka

12 Plaka

12 Plaka, Bingöl ve ilçelerine ait bir plaka kodudur. Resmi kayıtlara göre 12 plaka kodu Bingöl iline verilmiştir. 12 Plaka bingöl iline ait bir plakadır. 12 Plaka Kodu Listesi 12 AC 001 / 12 AN 999 Merkez 12 D 0001 / 12 D 9999 Merkez 12 KM 001 / 12 KM 999 Merkez 12 M 0001 / 12 M [...]

02 Plaka

02 Plaka

02 Plaka, Adıyaman ve ilçelerine ait bir plaka kodudur. Resmi kayıtlara göre 02 plaka kodu Adıyaman iline verilmiştir. 02 Plaka adıyaman iline ait bir plakadır. 02 Plaka Kodu Listesi 02 AC 001 – 02 AZ 999 Merkez 02 DA 001 – 02 DC 999 Besni 02 DV 001 – 02 DZ 999 Besni 02 EA 001 – 0[...]

03 Plaka

03 Plaka

03 Plaka, Afyon ve ilçelerine ait bir plaka kodudur. Resmi kayıtlara göre 03 plaka kodu afyon iline verilmiştir. 03 Plaka afyon iline ait bir plakadır. 03 Plaka Kodu Listesi 03 AC 001 – 03 AZ 999 Merkez 03 DA 001 – 03 DZ 999 Merkez 03 EA 001 – 03 EZ 999 Merkez 03 FA 001 – 03 FZ 99[...]

06 Plaka

06 Plaka

06 Plaka, Ankara ve ilçelerine ait bir plaka kodudur. Resmi kayıtlara göre 06 plaka kodu Ankara iline verilmiştir. 06 Plaka ankara iline ait bir plakadır. 06 Plaka Kodu Listesi 06 A 0001 / 06 A 9999 Merkez 06 AA 001 / 06 AZ 999 Merkez 06 AB 0001 / 06 AR 9999 Merkez 06 AAA 01 / 06 [...]

08 Plaka

08 Plaka

08 Plaka, Artvin ve ilçelerine ait bir plaka kodudur. Resmi kayıtlara göre 08 plaka kodu Artvin iline verilmiştir. 08 Plaka artvin iline ait bir plakadır. 08 Plaka Kodu Listesi 08 AC 001 / 08 AR 999 Merkez 08 AS 001 / 08 AV 999 Hopa 08 DA 001 / 08 DA 999 Merkez 08 HA 001 / 08 HZ 9[...]

07 Plaka

07 Plaka

07 Plaka, Antalya ve ilçelerine ait bir plaka kodudur. Resmi kayıtlara göre 07 plaka kodu Antalya iline verilmiştir. 07 Plaka antalya iline ait bir plakadır. 07 Plaka Kodu Listesi 07 A 0001 / 07 A 9950 Merkez 07 A 9951 / 07 A 9970 Akseki 07 AAA 01 / 07 AZZ 99 Merkez 07 AB 001 / 07[...]

11 Plaka

11 Plaka

11 Plaka, Bilecik ve ilçelerine ait bir plaka kodudur. Resmi kayıtlara göre 11 plaka kodu bilecik iline verilmiştir. 11 Plaka bilecik iline ait bir plakadır. 11 Plaka Kodu Listesi 11 AC 001 / 11 AZ 999 Merkez 11 DA 001 / 11 DA 999 Merkez 11 DC 001 / 11 DZ 999 Bozüyük 11 EA 001 / 1[...]

13 Plaka

13 Plaka

13 Plaka, Bitlis ve ilçelerine ait bir plaka kodudur. Resmi kayıtlara göre 13 plaka kodu Bitlis iline verilmiştir. 13 Plaka bitlis iline ait bir plakadır. 13 Plaka Kodu Listesi 13 CA 001 / 13 CZ 999 Adilcevaz 13 DA 001 / 13 DZ 999 Güroymak 13 EA 001 / 13 EZ 999 Ahlat 13 J 0001 / 1[...]

14 Plaka

14 Plaka

14 Plaka, Bolu ve ilçelerine ait bir plaka kodudur. Resmi kayıtlara göre 14 plaka kodu Bolu iline verilmiştir. 14 Plaka bolu iline ait bir plakadır. 14 Plaka Kodu Listesi 14 AC 001 / 14 AZ 999 Merkez 14 BA 001 / 14 BD 999 Merkez 14 BE 001 / 14 BE 999 Merkez 14 DA 001 / 14 DZ 999 M[...]

15 Plaka

15 Plaka

15 Plaka, Burdur ve ilçelerine ait bir plaka kodudur. Resmi kayıtlara göre 15 plaka kodu Burdur iline verilmiştir. 15 Plaka burdur iline ait bir plakadır. 15 Plaka Kodu Listesi 15 AA 001 / 15 AZ 999 Merkez 15 A 0001 / 15 A 9999 Merkez 15 C 0001 / 15 C 3999 Merkez 15 DA 001 / 15 [...]

16 Plaka

16 Plaka

16 Plaka, Bursa ve ilçelerine ait bir plaka kodudur. Resmi kayıtlara göre 16 plaka kodu Bursa iline verilmiştir. 16 Plaka bursa iline ait bir plakadır. 16 Plaka Kodu Listesi 16 AB 001 / 16 AZ 999 Merkez 16 AAB 01 / 16 AZZ 99 Merkez 16 BA 001 / 16 BZ 999 Merkez 16 BAA 01 / 16 BZZ 99 Merke[...]

17 Plaka

17 Plaka

17 Plaka, Çanakkale ve ilçelerine ait bir plaka kodudur. Resmi kayıtlara göre 17 plaka kodu Çanakkale iline verilmiştir. 17 Plaka çanakkale iline ait bir plakadır. 17 Plaka Kodu Listesi 17 AC 001 / 17 AZ 999 Merkez 17 DA 001 / 17 DZ 999 Merkez 17 EA 001 / 17 EZ 999 Merkez 17 HA 001 / 17 HZ[...]

18 Plaka

18 Plaka

18 Plaka, Çankırı ve ilçelerine ait bir plaka kodudur. Resmi kayıtlara göre 18 plaka kodu Çankırı iline verilmiştir. 18 Plaka çankırı iline ait bir plakadır. 18 Plaka Kodu Listesi 18 AC 001 / 18 AZ 999 Merkez 18 DA 001 / 18 DF 999 Merkez 18 KU 001 / 18 KZ 999 Kurşunlu 18 T 0001 / 18 T 9[...]

19 Plaka

19 Plaka

19 Plaka, Çorum ve ilçelerine ait bir plaka kodudur. Resmi kayıtlara göre 19 plaka kodu Çorum iline verilmiştir. 19 Plaka çorum iline ait bir plakadır. 19 Plaka Kodu Listesi 19 AC 001 / 19 AZ 999 Merkez 19 DA 001 / 19 DZ 999 Merkez 19 EA 001 / 19 EA 999 Merkez 19 EC 001 / 19 EC 999 Osman[...]

20 Plaka

20 Plaka

20 Plaka, Denizli ve ilçelerine ait bir plaka kodudur. Resmi kayıtlara göre 20 plaka kodu Denizli iline verilmiştir. 20 Plaka denizli iline ait bir plakadır. 20 Plaka Kodu Listesi 20 AC 001 / 20 AZ 999 Merkez 20 DA 001 / 20 DZ 999 Merkez 20 EA 001 / 20 EZ 999 Merkez 20 FA 001 / 20 FZ 999[...]

21 Plaka

21 Plaka

21 Plaka, Diyarbakır ve ilçelerine ait bir plaka kodudur. Resmi kayıtlara göre 21 plaka kodu Diyarbakır iline verilmiştir. 21 Plaka diyarbakır iline ait bir plakadır. 21 Plaka Kodu Listesi 21 AC 001 / 21 AZ 999 Merkez 21 DA 001 / 21 DZ 999 Merkez 21 EA 001 / 21 EP 999 Mrkez 21 ER 001 / 2[...]

22 Plaka

22 Plaka

22 Plaka, Edirne ve ilçelerine ait bir plaka kodudur. Resmi kayıtlara göre 22 plaka kodu Edirne iline verilmiştir. 22 Plaka edirne iline ait bir plakadır. 22 Plaka Kodu Listesi 22 AC 001 / 22 AZ 999 Merkez 22 DA 001 / 22 DZ 999 Merkez 22 EA 001 / 22 EZ 999 Merkez 22 FA 001 / 22 FZ 999 Ke[...]

23 Plaka

23 Plaka

23 Plaka, Elazığ ve ilçelerine ait bir plaka kodudur. Resmi kayıtlara göre 23 plaka kodu Elazığ iline verilmiştir. 23 Plaka elazığ iline ait bir plakadır. 23 Plaka Kodu Listesi 23 AC 001 / 23 AZ 999 Merkez 23 DA 001 / 23 DZ 999 Merkez 23 EA 001 / 23 EZ 999 Merkez 23 FA 001 / 23 FZ 999 Me[...]

24 Plaka

24 Plaka

24 Plaka, Erzincan ve ilçelerine ait bir plaka kodudur. Resmi kayıtlara göre 24 plaka kodu Erzincan iline verilmiştir. 24 Plaka erzincan iline ait bir plakadır. 24 Plaka Kodu Listesi 24 AC 001 / 24 AZ 999 Merkez 24 DA 001 / 24 DA 999 Tercan 24 DC 001 / 24 DD 999 Merkez 24 DE 001 / 24 DE [...]

25 Plaka

25 Plaka

25 Plaka, Erzurum ve ilçelerine ait bir plaka kodudur. Resmi kayıtlara göre 25 plaka kodu Erzurum iline verilmiştir. 25 Plaka erzurum iline ait bir plakadır. 25 Plaka Kodu Listesi 25 AC 001 / 25 AZ 999 Merkez 25 C 0001 / 25 D 1000 Merkez 25 C 1001 / 25 C 1500 Aşkale 25 C 2000 / 25 C 2500 O[...]

26 Plaka

26 Plaka

26 Plaka, Eskişehir ve ilçelerine ait bir plaka kodudur. Resmi kayıtlara göre 26 plaka kodu Eskişehir iline verilmiştir. 26 Plaka eskişehir iline ait bir plakadır. 26 Plaka Kodu Listesi 26 AA 001 – 26 AZ 999 Merkez 26 D 0001 – 26 D 9999 Merkez 26 DA 001 – 26 DZ 999 Merkez 26 EA 001 – 26 EZ[...]

27 Plaka

27 Plaka

27 Plaka, Gaziantep ve ilçelerine ait bir plaka kodudur. Resmi kayıtlara göre 27 plaka kodu Gaziantep iline verilmiştir. 27 Plaka gaziantep iline ait bir plakadır. 27 Plaka Kodu Listesi 27 AA 001 / 27 AZ 999 Merkez 27 BA 001 / 27 BZ 999 Merkez 27 DA 001 / 27 DZ 999 Merkez 27 EA 001 / 27 EZ[...]

28 Plaka

28 Plaka

28 Plaka, Giresun ve ilçelerine ait bir plaka kodudur. Resmi kayıtlara göre 28 plaka kodu Giresun iline verilmiştir. 28 Plaka giresun iline ait bir plakadır. 28 Plaka Kodu Listesi 28 AC 001 / 28 AY 999 Merkez 28 AZ 001 / 28 AZ 999 Şebihkarahisar 28 D 0001 / 28 D 5000 Merkez 28 D 5001 / 28 [...]

29 Plaka

29 Plaka

29 Plaka, Gümüşhane ve ilçelerine ait bir plaka kodudur. Resmi kayıtlara göre 29 plaka kodu Gümüşhane iline verilmiştir. 29 Plaka gümüşhane iline ait bir plakadır. 29 Plaka Kodu Listesi 29 AC 001 / 29 AP 999 Merkez 29 AS 001 / 29 AT 999 Kelkit 29 AU 001 / 29 AV 999 Şiran 29 AY 001 / 29 AY [...]

30 Plaka

30 Plaka

30 Plaka, Hakkari ve ilçelerine ait bir plaka kodudur. Resmi kayıtlara göre 30 plaka kodu Hakkari iline verilmiştir. 30 Plaka hakkari iline ait bir plakadır. 30 Plaka Kodu Listesi 30 AC 001 / 30 AZ 999 Merkez 30 HA 001 / 30 HZ 999 Yüksekova 30 D 0001 / 30 M 1000 Merkez 30 D 1001 / 30 M 300[...]

31 Plaka

31 Plaka

31 Plaka, Hatay ve ilçelerine ait bir plaka kodudur. Resmi kayıtlara göre 31 plaka kodu Hatay iline verilmiştir. 31 Plaka hatay iline ait bir plakadır. 31 Plaka Kodu Listesi 31 AC 001 / 31 AZ 999 Merkez 31 B 0001 / 31 B 9999 Belen 31 D 0001 / 31 D 9999 Merkez 31 DA 001 / 31 DZ 999 Merkez [...]

32 Plaka

32 Plaka

32 Plaka, Isparta ve ilçelerine ait bir plaka kodudur. Resmi kayıtlara göre 32 plaka kodu Isparta iline verilmiştir. 32 Plaka ısparta iline ait bir plakadır. 32 Plaka Kodu Listesi 32 AC 001 / 32 AZ 999 Merkez 32 C 0001 / 32 C 9999 Merkez 32 DA 001 / 32 DZ 999 Merkez 32 EA 001 / 32 ED 999 Y[...]

33 Plaka

33 Plaka

33 Plaka, Mersin ve ilçelerine ait bir plaka kodudur. Resmi kayıtlara göre 33 plaka kodu Mersin iline verilmiştir. 33 Plaka mersin iline ait bir plakadır. 33 Plaka Kodu Listesi 33 AC 001 / 33 AZ 999 Merkez 33 B 0001 / 33 B 9999 Merkez 33 D 0001 / 33 D 9999 Merkez 33 DA 001 / 33 DZ 999 Merk[...]

34 Plaka

34 Plaka

34 Plaka, İstanbul ve ilçelerine ait bir plaka kodudur. Resmi kayıtlara göre 34 plaka kodu İstanbul iline verilmiştir. 34 Plaka istanbul iline ait bir plakadır. 34 Plaka Kodu Listesi 34 AAA 01 / 34 AAA 99 Gayrettepe 34 AAB 01 / 34 AAB 99 Gaziosmanpaşa 34 BAA 01 / 34 BZZ 99 Kartal 34 CAA 01[...]

35 Plaka

35 Plaka

35 Plaka, İzmir ve ilçelerine ait bir plaka kodudur. Resmi kayıtlara göre 35 plaka kodu İzmir iline verilmiştir. 35 Plaka izmir iline ait bir plakadır. 35 Plaka Kodu Listesi 35 AA 001 / 35 Merkez 35 CA 001 / 35 Merkez 35 DA 001 / 35 Merkez 35 EA 001 / 35 Merkez 35 FA 001 / 35 Merkez 35 H[...]

36 Plaka

36 Plaka

36 Plaka, Kars ve ilçelerine ait bir plaka kodudur. Resmi kayıtlara göre 36 plaka kodu Kars iline verilmiştir. 36 Plaka kars iline ait bir plakadır. 36 Plaka Kodu Listesi 36 AC 001 / 36 AZ 999 Merkez 36 EA 001 / 36 EA 999 Merkez 36 K 0001 / 36 K 7999 Merkez 36 K 8000 / 36 K 8999 Kağızman [...]

37 Plaka

37 Plaka

37 Plaka, Kastamonu ve ilçelerine ait bir plaka kodudur. Resmi kayıtlara göre 37 plaka kodu Kastamonu iline verilmiştir. 37 Plaka kastamonu iline ait bir plakadır. 37 Plaka Kodu Listesi 37 AB 001 / 37 AB 999 Abana 37 AC 001 / 37 AF 999 Merkez 37 AG 001 / 37 AG 999 Abana 37 AH 001 / 37 AH 9[...]

38 Plaka

38 Plaka

38 Plaka, Kayseri ve ilçelerine ait bir plaka kodudur. Resmi kayıtlara göre 38 plaka kodu Kayseri iline verilmiştir. 38 Plaka kayseri iline ait bir plakadır. 38 Plaka Kodu Listesi 38 AC 001 / 38 AZ 999 Merkez 38 D 0001 / 38 D 9999 Yahyalı 38 DA 001 / 38 DZ 999 Merkez 38 E 0001 / 38 E 9999 [...]

39 Plaka

39 Plaka

39 Plaka, Kırklareli ve ilçelerine ait bir plaka kodudur. Resmi kayıtlara göre 39 plaka kodu Kırklareli iline verilmiştir. 39 Plaka kırklareli iline ait bir plakadır. 39 Plaka Kodu Listesi 39 AC 001 / 39 AZ 999 Merkez 39 DA 001 / 39 DZ 999 Merkez 39 EA 001 / 39 ET 999 Merkez 39 LA 001 / 39[...]

40 Plaka

40 Plaka

40 Plaka, Kırşehir ve ilçelerine ait bir plaka kodudur. Resmi kayıtlara göre 40 plaka kodu Kırşehir iline verilmiştir. 40 Plaka kırşehir iline ait bir plakadır. 40 Plaka Kodu Listesi 40 AC 001 – 40 AZ 999 Merkez 40 DA 001 – 40 DZ 999 Merkez 40 EA 001 – 40 EC 999 Merkez 40 KA 001 – 40 KZ 99[...]

41 Plaka

41 Plaka

41 Plaka, Kocaeli ve ilçelerine ait bir plaka kodudur. Resmi kayıtlara göre 41 plaka kodu Kocaeli iline verilmiştir. 41 Plaka kocaeli iline ait bir plakadır. 41 Plaka Kodu Listesi 41 AC 001 / 41 AZ 999 Merkez 41 D 0001 / 41 D 9999 Merkez 41 DA 001 / 41 DZ 999 Merkez 41 E 0001 / 41 E 9999 G[...]

42 Plaka

42 Plaka

42 Plaka, Konya ve ilçelerine ait bir plaka kodudur. Resmi kayıtlara göre 42 plaka kodu Konya iline verilmiştir. 42 Plaka konya iline ait bir plakadır. 42 Plaka Kodu Listesi 42 AB 001 / 42 AZ 999 Merkez 42 B 0001 / 42 B 9999 Beyşehir 42 BA 001 / 42 BZ 999 Merkez 42 C 0001 / 42 C 9999 Merke[...]

43 Plaka

43 Plaka

43 Plaka, Kütahya ve ilçelerine ait bir plaka kodudur. Resmi kayıtlara göre 43 plaka kodu Kütahya iline verilmiştir. 43 Plaka kütahya iline ait bir plakadır. 43 Plaka Kodu Listesi 43 AC 001 / 43 AZ 999 Merkez 43 DA 001 / 43 DZ 999 Merkez 43 EA 001 / 43 EE 999 Merkez 43 EF 001 / 43 EH 999 T[...]

44 Plaka

44 Plaka

44 Plaka, Malatya ve ilçelerine ait bir plaka kodudur. Resmi kayıtlara göre 44 plaka kodu Malatya iline verilmiştir. 44 Plaka malatya iline ait bir plakadır. 44 Plaka Kodu Listesi 44 AC 001 / 44 AZ 999 Merkez 44 DA 001 / 44 DL 999 Merkez 44 DN 001 / 44 DN 999 Darende 44 DP 001 / 44 DP 999 [...]

45 Plaka

45 Plaka

45 Plaka, Manisa ve ilçelerine ait bir plaka kodudur. Resmi kayıtlara göre 45 plaka kodu Manisa iline verilmiştir. 45 Plaka manisa iline ait bir plakadır. 45 Plaka Kodu Listesi 45 AC 001 / 45 AZ 999 Merkez 45 B 0001 / 45 B 9999 Ahmetli 45 D 0001 / 45 D 9999 Merkez 45 DA 001 / 45 DZ 999 Mer[...]

46 Plaka

46 Plaka

46 Plaka, Kahramanmaraş ve ilçelerine ait bir plaka kodudur. Resmi kayıtlara göre 46 plaka kodu Kahramanmaraş iline verilmiştir. 46 Plaka kahramanmaraş iline ait bir plakadır. 46 Plaka Kodu Listesi 46 AC 001 / 46 AZ 999 Merkez 46 D 0001 / 46 D 9999 Afşin 46 DA 001 / 46 DZ 999 Merkez 46 E 0[...]

47 Plaka

47 Plaka

47 Plaka, Mardin ve ilçelerine ait bir plaka kodudur. Resmi kayıtlara göre 47 plaka kodu Mardin iline verilmiştir. 47 Plaka mardin iline ait bir plakadır. 47 Plaka Kodu Listesi 47 AC 001 / 47 AZ 999 Merkez 47 DA 001 / 47 DR 999 Merkez 47 H 0001 / 47 H 100 Merkez 47 KA 001 / 47 KZ 999 Kızıl[...]

48 Plaka

48 Plaka

48 Plaka, Muğla ve ilçelerine ait bir plaka kodudur. Resmi kayıtlara göre 48 plaka kodu Muğla iline verilmiştir. 48 Plaka muğla iline ait bir plakadır. 48 Plaka Kodu Listesi 48 AC 001 / 48 AZ 999 Merkez 48 D 0001 / 48 D 9999 Dalaman 48 DA 001 / 48 DZ 999 Merkez 48 EA 001 / 48 EZ 999 Merkez[...]

49 Plaka

49 Plaka

49 Plaka, Muş ve ilçelerine ait bir plaka kodudur. Resmi kayıtlara göre 49 plaka kodu Muş iline verilmiştir. 49 Plaka muş iline ait bir plakadır. 49 Plaka Kodu Listesi 49 AC 001 / 49 AZ 999 Merkez 49 D 0001 / 49 D 9999 Bulanık 49 E 0001 / 49 E 9999 Malazgirt 49 F 0001 / 49 F 9999 Varto 49[...]

50 Plaka

50 Plaka

50 Plaka, Nevşehir ve ilçelerine ait bir plaka kodudur. Resmi kayıtlara göre 50 plaka kodu Nevşehir iline verilmiştir. 50 Plaka nevşehir iline ait bir plakadır. 50 Plaka Kodu Listesi 50 AC 001 / 50 AZ 999 Merkez 50 DA 001 / 50 DZ 999 Merkez 50 EA 001 / 50 EZ 999 Merkez 50 FA 001 / 50 FK 99[...]

Tam Sayılar

Tam Sayılar

Tam SayılarMatematikte Z harfi ile ifade edilen ve doğal sayılar diğer adı ile tam sayılar ve negatif sayıların birleşmesi ile oluşan kümeye verilen addır. Tam sayılar kesir içermez yani 8,6 şeklinde bir tam sayı yoktur. Tam sayıların Z harfi ile ifade edilmesinin nedeni Almanca bir terim olmasıdır.[...]

Karmaşık Sayılar

Karmaşık Sayılar

Karmaşık sayılar, a ve b gerçel olan sayılar ve i, ve l'nin karekökü olarak a+ib olarak yazılabilen sayılardır. Burada çoğunlukla A, karmaşık sayının kendi gerçel kısmını b, ise sanal kısmını meydana getirmektedir. Genel olarak a+ib ile c+id şeklinde verilmiş olan karmaşık sayının özellikle gerçel v[...]

Ondalık Sayılar

Ondalık Sayılar

Ondalık Sayılar ; Ondalık işareti, ondalık sayı sisteminde olan bir tam sayı ile sayının kesirli kısmı arasındaki sınırı belirleyen işarete verilen isimdir. Türkiye de ondalık işareti olarak virgül kullanılmaktadır. Ondalık işaretinin kullanılması henüz M.Ö. 18. yüzyılda Sümerlerle birlikte kullanıl[...]

Sayma Sayıları

Sayma Sayıları

Sayma Sayıları; Bir matematik terimidir.Sayma sayıları 1 den sonsuza kadar olan sayılara denir.Sayılar günlük yaşamımızda çok işimize yarar.Mesela matematikte, alış verişte,bir şeyleri sayman gerektiğinde hep sayma sayılarını kullanırız. Sayma sayıları yazı olarak ta önümüze çıkar. Mesela fabrika, [...]

Tam Kare Sayılar

Tam Kare Sayılar

Tam kare sayılar, Tam kare, kare kökü bir sayma sayısı olan pozitif tam sayılara denilmektedir. Diğer bir söyleyişle, karesi alınan sayma sayılarının sonucu tam kare olmaktadır. 1, 4, 9, 16, 25, 36, 49... ilk tam sayı karelere örneklerden bazılarıdır. Bir tam karenin karekökü her zaman pozitif bir t[...]

Kareköklü Sayılar

Kareköklü Sayılar

Kareköklü Sayılar ; Köklü Sayı, üssü reel olan herhangi bir sayının kök içine alınıp gösterilmesi işlemine denir. Her üslü sayı bir köklü sayıya dönüşebilirken, bu durum üssü olan sayılarda genellikle kullanılamaz ancak herhangi bir a sayısının, a üssü 1 Şeklinde yazılması √a üssünün 1 şeklind[...]

Tek Sayılar

Tek Sayılar

Tek Sayılar Tam sayı çeşitleri ikiye ayrılırlarÇift SayılarTek SayılarÇift Sayılar : n bir tam sayı olmak üzere 2n genel ifadesiyle belirtilen tam sayılara çift sayı denir.Diğer bir deyişle; 2 ile bölündüğünde kalanı 0 olan tam sayılara çift sayı denir.Çift Sayılar Kümesi;Ç { ..., -4, -2, 0,, 2, 4, [...]

Çift Sayılar

Çift Sayılar

Çift  Sayılar, İçinde 0, 2, 4, 6, 8 bulunan sayılara çift sayılar denir.Çift sayılar kümesi 0, 2, 4, 6, 8, 10, 12, 14, 16, 18, 20 rakamlarından oluşur. Çift sayılar 2n olarak ifade edilir. Çift sayılarda toplama çift + çift : çift olarak yapılır. Örneğin 2 + 2 : 4  şeklinde yapılır. Bölme işlemi is[...]

Tek Ve Çift Sayılar

Tek Ve Çift Sayılar

Tek ve Çift sayılar, Matematikte tam sayıların tek veya çift olma durumuna Parite denir. Şimdi öncelikle bilmemiz gereken bir kısaltma olan ''Z'' işaretinin anlamı tam sayılardır. Tam sayılar sayı çizelgesindeki kesirli veya virgüllü sayıların dışındaki 1,2,3 gibi sayılardır. Tek ve çift sayılar top[...]

Reel Sayılar

Reel Sayılar

Reel Sayılar ; Matematikte reel sayılar ya da diğer adıyla gerçek sayılar kümesi, rasyonel sayılar kümesinin  standart olan uzunluğuna göre bütünlenmesi ile elde edilen kümeye denir. Reel sayılar kümesi " R " ile gösterilmektedir.Her oranlı sayı veya rasyonel sayı bir gerçek sayı olmaktadır ve virgü[...]

Doğal Sayılar

Doğal Sayılar

Doğal SayılarDoğal sayılar negatif değer almazlar. 0,1,2,3,4,5,6,7,8...Şeklinde oluşan tam sayılardır. Bazı kaynaklar, 0 sayısının doğal sayı olduğunu tanımlamaz. Bu yüzden günümüzde hala doğal sayı olup olmadığı tartışma konusudur. Matematiğin öteki dallarında problem hangi durumda daha kolay ifade[...]

Asal Sayılar

Asal Sayılar

Asal Sayılar Asal Sayı Nedir?Sadece bir ve kendine bölünebilen birden büyük sayılar asal sayılardır. Sadece kendine bölünen pozitif sayılar olarak da tanımlayabiliriz. En küçük asal sayı ikidir. İkiden başka çift asal sayı yoktur çünkü, diğer çift sayıların hepsi 2 ye bölündüğü için asal sayı olamaz[...]

Rasyonel Sayılar

Rasyonel Sayılar

Rasyonel Sayılar, a,b tam sayı ve b eşit değil 0 olmak üzere, a/b ifadesine rasyonel sayı denir. Rasyonel sayılar Q şeklinde gösterilir. Her tam sayı bir rasyonel sayıdır. Ondalık kesirler ve devirli ondalık açılımlar birer rasyonel sayılardır. Rasyonel Sayılarda Dört İşlem1.Toplama İşlemi: Paydalar[...]

Sayı

Sayı

Sayı, bir çokluğu bahsetmek amaçlı kullanılan soyut birimdir. Ama çağdaş matematikte çoğalış büyüklük belirtmediği takdirde ananesel sayıların farklı özelliklerine alternatif özellikler taşıyan nesnelere de sayı denmesi adettendir. Sayıları sözlü olmayan olarak da göstermek amaçlı rakamlar kullanılm[...]

Ardışık Sayılar

Ardışık Sayılar

Ardışık Sayılar: Belli bir kurala göre art arda gelen sayılara ardışık sayılar denir. Ardışık tam sayılar: ... -3,-2,-1,0,1,2,3... gibi sayılar Ardışık tam sayılardır.Ardışık çift tam sayılar: ...-6,-4,-2,0,2,4,6... gibi sayılar Ardışık çift tam sayılardır.Ardışık tek tam sayılar: ...-5,-3,-1,1,3,5.[...]

İngilizce Sayılar

İngilizce Sayılar

İngilizce Sayılar, İngilizce öğrenmede ilk aşamalardan biri de sayılardır. Sayıları sırasıyla öğrenelim. İlk olarak 0 ile 20 arasını öğrenmeli ardından onar onar saymayı öğrenmelisiniz. Arada kalan sayıklar ise onar saymayı öğrendikten sonra daha basit olacaktır. Sayılar sıfır: zero (ziro)bir: one ([...]

Köklü Sayılar

Köklü Sayılar

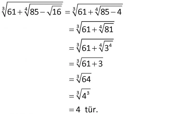
Köklü Sayılar: n, 1 den büyük bir doğal sayı olmak üzere x üzeri n eşittir a denklemini sağlayan x sayısına a nın n. dereceden kökü olarak bilinir. Köklü sayıların daha iyi yapılması için üslü sayıları çok iyi bir şekilde bilmemiz gerekir. Köklü sayılar dört işlem; Toplama-Çıkarma işlemi: Köklü sayı[...]

Rüyada Sayı Görmek

Rüyada Sayı Görmek

Rüyada sayı görmek farklı farklı anlamlara gelebilir. Her rakamın farklı bir anlamı vardır.  Bazı yorumcular tek rakamlar için üzüntü, keder, kötülüğe yorumlarken çift rakamları ise hayra, berekete, güzelliğe işaret edilir. Sayılar tek tek yorumlanacak olursa;Rüyada 1 sayısını görmek, Hayırlı, berek[...]

Üslü Sayılar

Üslü Sayılar

Üslü sayılar, matematik alanında oldukça önemlidir. Öğrenciler üslü sayıları ve özelliklerini öğrenmelidir. a reel bir sayı, n ise pozitif tam sayı olduğu zaman, n tane  sayısının çarpımının sonucu üslü sayıyı verir. Burada a üslü sayının tabanını, n ise üslü sayının üssünü ifade eder.  Üslü sayılar[...]

Devirli Ondalık Sayılar

Devirli Ondalık Sayılar

Devirli ondalık sayılar, devirli ondalık sayı, bir ondalık sayıdaki sonsuza kadar tekrarlanan rakam ya da rakamlar olduğundaki sayıdır. Yani hesap makinesiyle 1 sayısını 2 ye böldüğünüzde, sonuç her zaman 0,5 sayısını verir. Fakat her zaman bulunan bu sonuç net bir rakam vermez. 1 sayısını 2 sayısın[...]

Fosfor Hangi Besinlerde Bulunur

Fosfor Hangi Besinlerde Bulunur

Fosfor hangi besinlerde bulunur, Fosfor insan vücudunda kemik ve dişlerde kalsiyumdan sonra en çok bulanan mineraldir. İnsan vücudunun ihtiyacı olan fosfor B vitamini ile birlikte çalışır ve diş, kemik sağlığı için çok önemlidir. Bunun yanı sıra böbreklerin işlemesinde ve kalp sağlığı için önemli ye[...]

Fosfor Pentaklorür

Fosfor Pentaklorür

Fosfor pentaklorür,  Fosfor pentaklorür, ametal-ametal bileşiklerinden oluşmaktadır. Fosfor pentaklorürün kimyasal formülü  PCI5 tir. Hücre içi sıvıların ana anyonu olan fosfor dönüştürülebilir bir element olmasından dolayı, gerekli bileşikler ile birleşme yeteneğine sahiptir. Bundan dolayı fosfor p[...]

Beyaz Fosfor

Beyaz Fosfor

Beyaz fosfor, Fosfor hızlıca alev alabilen ve karanlıkta parlayan bir cisimdir. Özellikle beyinde ve sinir dokusunda bulunur. Fosfor ilk olarak idrarda tespit edilmiştir. Kimyacılar eskiden kemik yakarak fosfor elde etmeye çalışırlardı. Fosfor vücuda tüketilen besinlerle de geçer. Kül fosfor bakımın[...]

Fosfor Pentaoksit

Fosfor Pentaoksit

Fosfor pentaoksit; beyaz bir toz olup, beyaz fosforun doğrudan doğruya yanmasından elde edilmektedir. Erimiş fosfor üzerine doğrudan doğruya hava gönderilerek elde edilmektedir. P4 + 5O2 > 2P 2O5 Fosfor, Ametaller sınıfından bir kimyasal elementtir. VA grubu elementi olup, ''P'' sembolü ile gösteril[...]

Fosfor Çeşitleri

Fosfor Çeşitleri

Fosfor Çeşitleri: Fosfor: Karanlıkta ışık veren, katı bir ametaldir. İki şekli bulunmaktadır. beyaz ve mor fosfat olarak adlandırılır. Beyaz Fosfor:Normal sıcaklıkta balmumu yumuşaklığındadır. Fakat normalde kristal yapılıdır. Havada çok çabuk tutuştuğu için su altında saklanır. Fosforun kesilmesi d[...]

Vücutta Fosfor Fazlalığı

Vücutta Fosfor Fazlalığı

Vücutta Fosfor Fazlalığı; Fosfor vücudumuz için gerekli zorunlu olan minerallerden biridir ve vücutta en çok  bulunan minerallerin kalsiyumdan sonra ikincisidir. Fosfor hücrelerin büyümesini sağlamakta ve proteinlerin sentezlenmesine etki etmektedir. Vücutta fosfor azlığı özellikle bayanlarda kemik [...]

Fosfor Döngüsü

Fosfor Döngüsü

Fosfor Döngüsü, insan vücudunda kalsiyumdan sonra en fazla bulunan kimyasal elementin döngüsüdür. Bütün organizmalar için fosfor bileşimleri DNA yapıları için son derece önemlidir. İnsan vücudu fosfor döngüsü için diş ve kemik oluşumu, hücre onarımı ve büyümesi, enerji üretimi, kalp kasının kasılmas[...]

Fosfor Yüksekliği

Fosfor Yüksekliği

Fosfor yüksekliği, fosfor yükseldiği zaman böbrek fonksiyonlarında bir problemin yaşandığı söylenebilir. Bulunduğu yerde kireçlenmeye sebep olabilecek ve organlara hasar verebilir. Fosforun böbreğe verdiği hasardan ziyade fosfor yüksekliğine sebep olabilecek birçok faktör bulunmaktadır. Fosfor yakla[...]

Fosfor Nerelerde Kullanılır

Fosfor Nerelerde Kullanılır

Fosfor Nerelerde Kullanılır, Fosfor, İnsan vücudunda en çok bulunan minerallerden biridir. Fosfor hem şekerlerde hem de proteinler de bulunan inanılmaz bir mineraldir. Vücudumuzda bir çok işlev de bulunan fosfor doğada genelde katı bir halde bulunmaktadır. İnsan vücudunda hücrelerin DNA ve RNA temel[...]

Sıvı Fosfor

Sıvı Fosfor

Sıvı Fosfor, Fosfor doğada katı olarak ve üç değişik şekilde bulunur. Fosforun değişik bu formlarına  allotrop denir. Bunlar beyaz, kırmızı ve siyah fosfordur. Tabiatta en çok bulunan fosfor allotropudur.İnsan Vücudunda Sıvı Fosfor: Fosfor bir insanda vücut ağırlığının 1%’i kadar bulunan bir madd[...]

Fosfor Eksikliği

Fosfor Eksikliği

Fosfor Eksikliği, Fosfor vücudun en çok ihtiyaç duyduğu minerallerdendir. Özellikle diş ve kemiklerde fosfor eksikliği ilerleyen süreçlerde çok büyük sıkıntılara, sağlık problemlerine yol açabilmektedir. Bu nedenle fosfor eksikliği bulunan kimselerin fosfor oranı yüksek gıdalar tüketmesi ve beslenme[...]

Toz Fosfor

Toz Fosfor

Toz Fosfor, görünüş olarak kehribar sarısı renginde, yarı saydam olan normal sıcaklıkta bal mumu gibi yumuşak olan sarımsağı anımsatan bir kokusu olan maddedir. Fosfor, karbon ve azottan başka birçok elementlede kolayca birleşir. Fosfor oksijenle birleştiği zaman yeşilimsi bir renkte ışık verir. Bun[...]

Fosfor Tozu

Fosfor Tozu

Fosfor Tozu, insan vücudu içerisinde kalsiyumdan sonra en fazla bulunan kimyasal elementtir. Bütün organizmalar için fosfor tozu bileşimleri DNA yapıları için büyük önem niteliği taşımaktadır. İnsan vücudu fosfora diş ve kemik oluşumu, hücre onarımı ve büyümesi, enerji üretilmesi, kalp kasının kasıl[...]

Fosforlu Renkler

Fosforlu Renkler

Fosforlu renkler, Renkler ışığın cisimlerin üzerinden gözümüze tekrardan yansıması ve gözümüzün bunu hissettiği derece algılaması olayıdır. Bir çok renk çeşidimiz vardır. öncelikler renklerin hepside 3 ana rengin karıştırılması sonucunda meydana gelir. Bunlar sarı, kırmızı, mavidir. Bütün renklerde [...]

Fosfor Düşüklüğü

Fosfor Düşüklüğü

Fosfor Düşüklüğü, Fosfor vücudumuzda bulunan önemli bir mineraldir. İnsan vücudunda fosfor, insanın vücut ağırlığının %1 kadarını oluşturur. Fosfor düşüklüğü ise, vücuttaki fosfat derecesinin olması gerekenden az olması durumudur. Tıbbi terimi hipofosfatemi'dir. Eğer günlük beslenmede yeterli fosfor[...]

Fosfor

Fosfor

Fosfor, vücudumuzun ihtiyaç duyduğu temel mineraller arasındadır. Kalsiyumun ardından vücudumuzda en fazla bulunan mineral fosfordur. Vücut ağırlığını dikkate alırsak, yaklaşık % 1 kadarını oluşturan fosfor vücudumuz için oldukça önemlidir. Genellikle doğada katı halde bulunan fosfor, proteinlerde, [...]

Fosfor Kullanım Alanları

Fosfor Kullanım Alanları

Fosfor Kullanım Alanları, Fosfor 1669 da Henng Brand tarafından, ürenin buharlaşması sonucunda bulmuş olduğu kimyasal bir elementtir. Periyodik cetvelin V A grubunda yer alır. Fosfor karanlıkta ışıldayan zehirli bir element olduğu yarı saydam kıvam olarak sert hamur kıvamındadır. Ayrıca fosfor vücud[...]

Fosfor Triklorür

Fosfor Triklorür

Fosfor Triklorür; renksiz sıvı, duman şeklindedir. Formülü; PCL3'dür. Su ve etanol çözünür ile ayrıştırılabilir. Sağlık açısından tehlikeleri; toksik rahatsız edici ve aşındırıcı özelliktedir fosfor triklorür gaz. Su ile şiddetli reaksiyon patlamaya neden olabilmektedir. Fosfor triklorür gaz solunum[...]

Fosfor Simgesi

Fosfor Simgesi

Fosfor simgesi: Fosfor kalsiyumdan sonra insan vücudunda en çok bulunan kimyasal bir elementtir. Fosfor simgesi P olan, atom numarası ise 15 olan bir elementtir. Fosfor bütün organizmalar ve DNA yapıları için büyük önem taşır. Ayrıca fosfor insan vücudundaki kemik ve diş oluşumuna, hücre büyümesi ve[...]

Fosfor Elementi

Fosfor Elementi

Fosfor elementi, Fosfor insan vücudunda çok fazla bulunan kimyasal elementtir. Kalsiyumdan sonra gelen ikinci elementtir. Bütün organizmaların DNA yapıları için fosfor birleşimleri büyük önem taşır. İnsan vücudunda hücre büyümesi ve onarımı, kemik ve diş oluşumunda, hücre büyümesi ve ve onarımında, [...]

Kırmızı Fosfor

Kırmızı Fosfor

Kırmızı Fosfor, Kimyasal formülü P olan fosforun kırmızı, beyaz ve siyah olmak üzere üç ana grup altında toplanan on kadar allofropu ayrı şekli bulunur. Isı ve güneş etkisiyle beyaz fosfordan meydana gelir. Kırmızı fosfor beyaz fosforun tam tersine kolayca tutuşmaz, ışıldamaz ve zehirli olmaz. Erime[...]

Fosforlu Gübreler

Fosforlu Gübreler

Fosforlu gübreler, bitkilerin büyümesinde oldukça gerekli olan gübrelerden biridir. Bitkinin çoğalma ve büyümesi de oldukça etkili olan bu gübre çeşidi, bitkilerin köklerinin, çiçek tozunun, çiçeklerinin, meyvelerinin ve tohumlarının teşekkür edebilmeleri için çok önemlidir. Bitkilerin olgunlaşma za[...]

Eşeysiz Üreyen Hayvanlar

Eşeysiz Üreyen Hayvanlar

Eşeysiz üreyen hayvanlar: Canlılar âleminde üreme iki şekilde meydana gelir. Bunlar eşeyli ve eşeysiz üreme olarak ikiye ayrılır. Eşeysiz üreme; bir canlının vücudundaki organizmalardan diğer canlıya genler yolu ile aktarılan bir üreme çeşididir. Eşeysiz üreme de döllenme olayı gerçekleşmez. Çünkü ü[...]

Eşeyli Eşeysiz Üreme

Eşeyli Eşeysiz Üreme

Eşeyli Eşeysiz Üreme, üreme, Bir canlıdan kendine benzer yeni canlılar meydana gelmesi ve neslinin devam etmesi olayıdır. Çoğalma olarak da bilinir. İki tip üreme vardır. Eşeyli üremeEşeysiz üremeEşeysiz Üreme; İlkel yapılı olan canlılarda rastlanan üreme şeklidir. Tek bir ata canlıdan yeni, kendisi[...]

Eşeysiz Üreme Nedir

Eşeysiz Üreme Nedir

Eşeysiz Üreme Nedir, Eşeysiz üreme tek bir organizmadan yalnızca bu organizmanın genleri olarak yeni bir canlı üremesiyle oluşur. Eşeysiz üreme genellikle bitkilerde görülmektedir. Eşeysiz üreme bir canlının döllenme gerçekleşmeden kendine benzeyen canlıları oluşturmasıdır. Eşeysiz üremenin bazı öze[...]

Bitkilerde Eşeyli Üreme

Bitkilerde Eşeyli Üreme

Bitkilerde Eşeyli Üreme, Eşeyli üreme bitkilerin çiçeğinde gerçekleşir. Bu eşeyli üreme sonucu bitkilerde tohum üretilir. Bu tohum uygun şartlarda gelişerek döllenme ile yeni bir bitki olur. Bitkilerde eşeyli üreme de açık formda olan tohumlu bitki çiçekleri kozalak şeklindedir. Bu bitkide erke[...]

Eşeysiz Üreme Ve Çeşitleri

Eşeysiz Üreme Ve Çeşitleri

Eşeysiz üreme ve çeşitleri denilince akla direk ilkel yapılı canlılar yani gelişmemiş canlılar gelir. Eşeysiz üreme tek bir ata canlının bir eşe ihtiyaç duymadan çeşitli yollarla üremesine denir. Bu üreme mitoz bölünme ile gerçekleşir. Üreme sonucu meydana gelen yeni canlı, ata bireyin tamamen aynıs[...]

10 Sınıf Biyoloji Eşeyli Üreme

10 Sınıf Biyoloji Eşeyli Üreme

10 Sınıf Biyoloji Eşeyli Üreme, Eşeyli Üreme, çok hücreli gelişmiş olan canlılarda, iki ata canlının üreme hücrelerinin birleşip döllenmesi ile yeni canlı meydana gelmesi olayıdır. Ökaryot canlıların genelinde, bitki hücrelerinde ve hayvan hücrelerinde görülen üreme şeklidir. Eşeyli üreme temelinde [...]

Eşeysiz Üreme

Eşeysiz Üreme

Eşeysiz üreme, gamet oluşturmadan ata canlıdan mitoz bölünmeyle yeni bireyler oluşmasıdır. Bu nedenle döllenme de olmaz. Canlıdan döllenme olmadan benzeri oluşur. Bu şekilde oluşan yeni bireyler ata canlıyla aynı özellikleri taşır. Bu şekilde eşeysiz üreme yoluyla çoğalan canlılarda kalıtsal çeşitli[...]

Eşeysiz Üreme Çeşitleri

Eşeysiz Üreme Çeşitleri

Eşeysiz Üreme Çeşitleri, Bölünme yapabilecek seviyeye ulaşan bir canlının; eşey hücresi oluşturmasına gerek kalmadan kendisine benzer yavrular meydana getirmesine eşeysiz üreme adı verilir. Oluşan yeni yavrular arasında herhangi bir çeşitlilik gözlenmez. Burada tek bir canlı mitoz bölünme yaptığı[...]

Eşeyli Ve Eşeysiz Üreme

Eşeyli Ve Eşeysiz Üreme

Eşeyli ve eşeysiz üreme, canlıların üreme şekilleridir. Canlıların neslini devam ettirebilmeleri ve neslin özelliklerini devam ettirebilmeleri için çoğalmaları gerekir. Bu yüzden üreme tüm canlılar için önemlidir. Eşeyli ve eşeysiz üreme kendi aralarında bazı özelliklere sahiptir. Bunlarda aralarınd[...]

Mitoz Ve Eşeysiz Üreme

Mitoz Ve Eşeysiz Üreme

Mitoz ve eşeysiz üreme, yeni hücrelerin oluşması mevcut hücrelerin bölünerek hücre üretmesiyle sağlanır. Çok hücreli canlılarda büyümeyi, gelişme ve yenilenmeyi sağlayan mitoz hücre bölünmesi, tek hücreli canlılarda da eşeysiz üremeyi sağlar. Hücrelerin yaşam döngüsü bellidir. Bölünmeyle oluşan bir [...]

Eşeysiz Üreme Özellikleri

Eşeysiz Üreme Özellikleri

Eşeysiz üreme özellikleri, eşeysiz üreme organizmanın genini alan canlı üremedir. Eşeysiz üremede ploitlik oluşmaz. Çok hücreli canlıda ve hayvanlarda tamamen eşeysiz üreme görülür. Çok hücreli canlıda eşeysiz üreme çok yaygındır. Yeni doğan yavru bireyin çevreye uyum sağlayamaması görülür. Eşeysiz [...]

Eşeysiz Üreyen Canlılar

Eşeysiz Üreyen Canlılar

Eşeysiz üreyen canlılar oldukça fazladır. Dört tane eşeysiz üreme çeşidi vardır. Bunlar bölünerek üreme, tomurcuklanarak üreme, vejetatif üreme ve sporla üremedir. Bu dört şekilden biri ile üreyen bir canlı ilkeldir ve eşeysiz ürüyor demektir. Bu yazımızda bu şekilde üreyen canlıları inceleyeceğiz.B[...]

Bülten

Popüler Makaleler

Sinir Sistemi Hastalıkları

Sinir Sistemi Hastalıkları

Sinir sistemi hastalıkları, sinir sistemi içinde beyin, beyincik, omurilik, kafa sinirl...
Siyah Havuç

Siyah Havuç

Siyah havuç, bir diğer adı ile şalgam havuç, şalgam suyunun ham maddesi olarak kulla...
Siğil İçin Okunacak Dua

Siğil İçin Okunacak Dua

Siğil için okunacak dua, siğillerin yok olması için okunan duadır. Siğil duası 3-5...
Ayak Altında Siğil

Ayak Altında Siğil

Ayak altında siğil, çoğunlukla ayak tabanında oluşan siyah noktalı gri ya da koyu k...
Verrutol Siğil İlacı

Verrutol Siğil İlacı

Verrutol siğil ilacı siğil tedavisinde kullanılan topikal bir ilaçtır. Özellikle el...
Siğil İlacı

Siğil İlacı

Siğil İlacı, Piyasada birden fazla siğil ilacı bulunmaktadır. Siğiller bazen dokt...
Siğil Nasıl Geçer

Siğil Nasıl Geçer

Siğil Nasıl Geçer, Siğil çok fazla görülen bir deri virüsüdür. Siğilin diğer ...
Elde Siğil

Elde Siğil

Elde Siğil, Siğil genellikle bir virüs hastalığıdır. 'Human Papilloma Virüs' deni...
Sinir Sistemini Güçlendiren Besinler

Sinir Sistemini Güçlendiren Besinler

Sinir sistemini güçlendiren besinler, sinir sistemi sağlıklı işlev gördüğü süre...
Sempatik Sinir Sistemi

Sempatik Sinir Sistemi

Sempatik sinir sistemi, irade dışında çalıştırılan otonom sinir sisteminin bölüm...